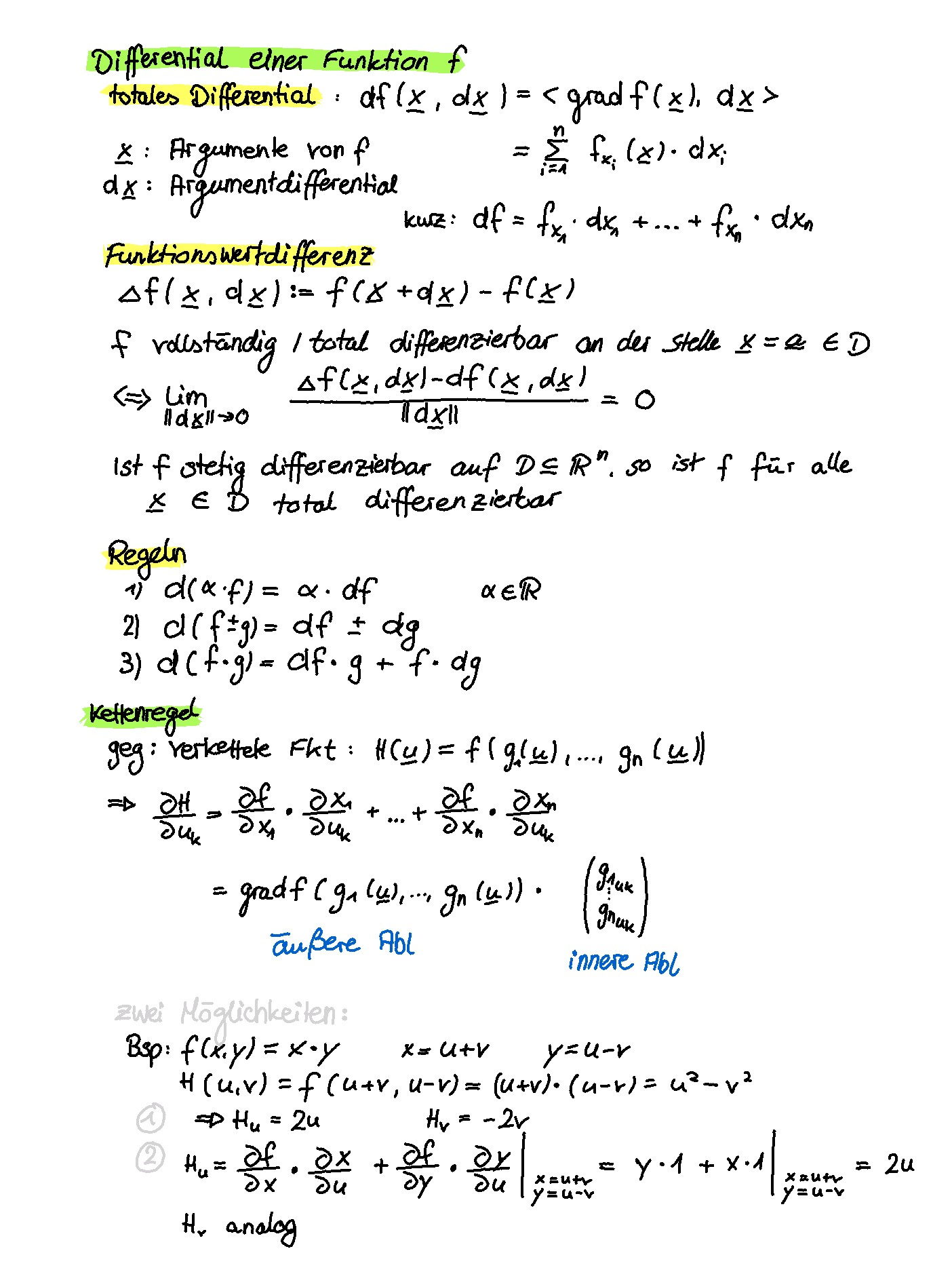
Mathe für Informatiker 1 + 2 Vorlesung

partielle Ableitung, Differential, implizite Fkt

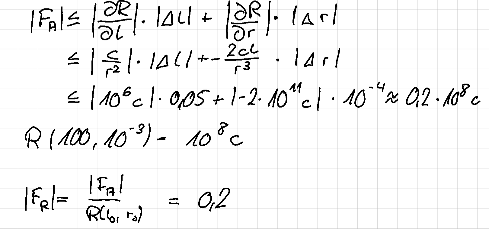
Part 1 Part 2 Part 3 relativer Fehler