Mathe für Informatiker 1 + 2 Vorlesung

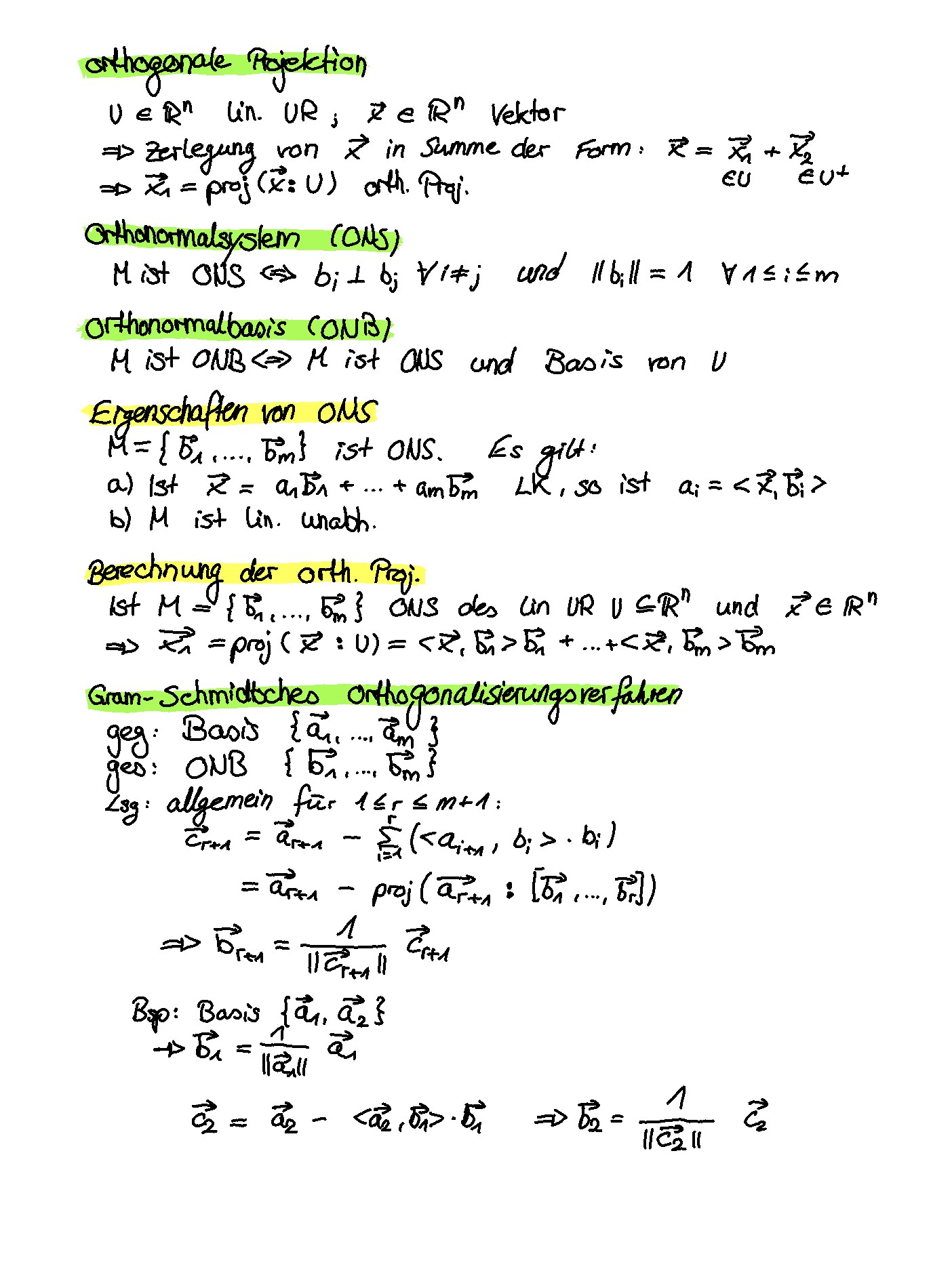
orthogonale Projektion, ONS, ONB

O 1