Mathe für Informatiker 1 + 2 Vorlesung

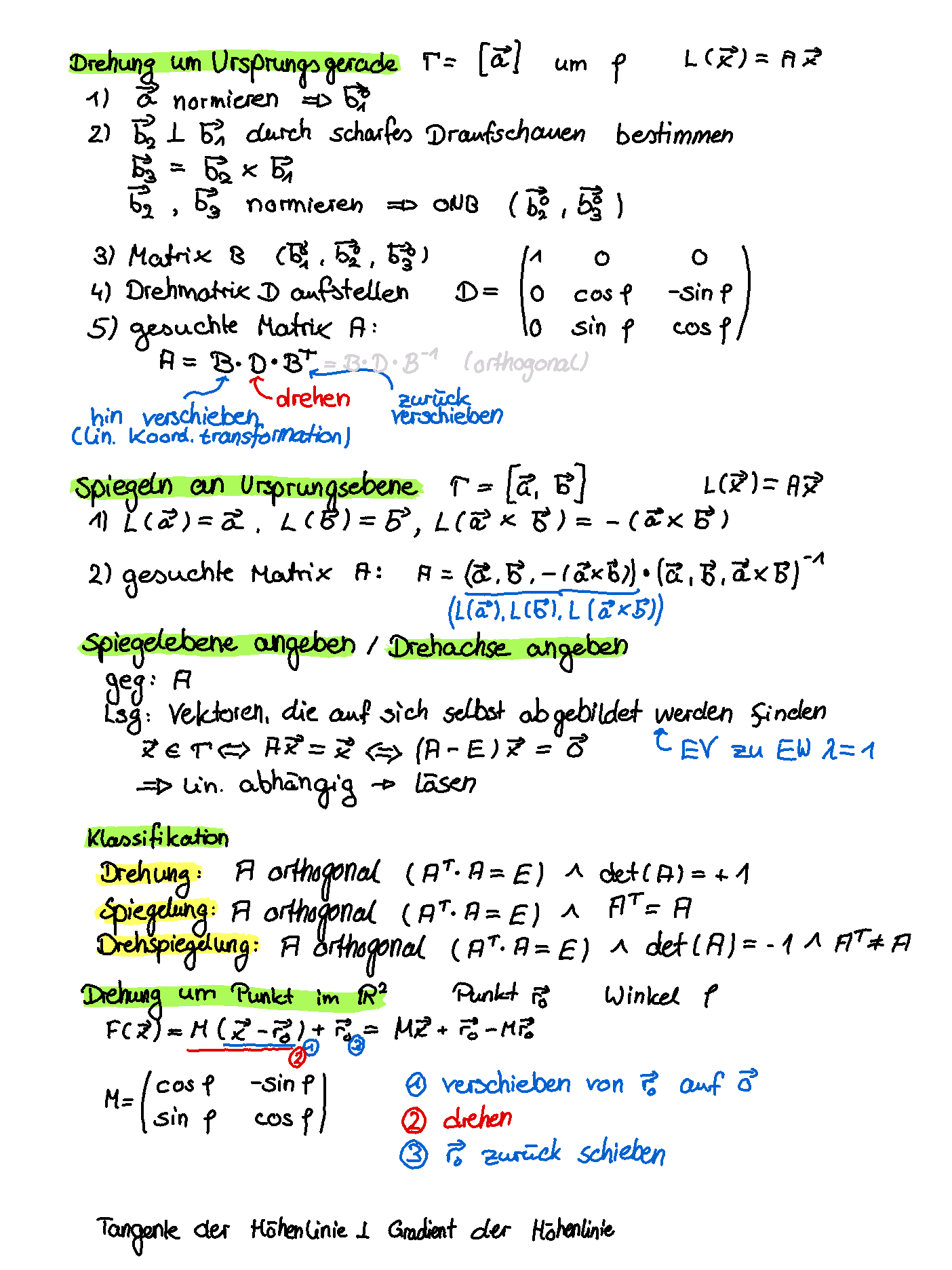
Drehungen und Spiegelung

Muster 1 Muster 2