Mathe für Informatiker 1 + 2 Vorlesung

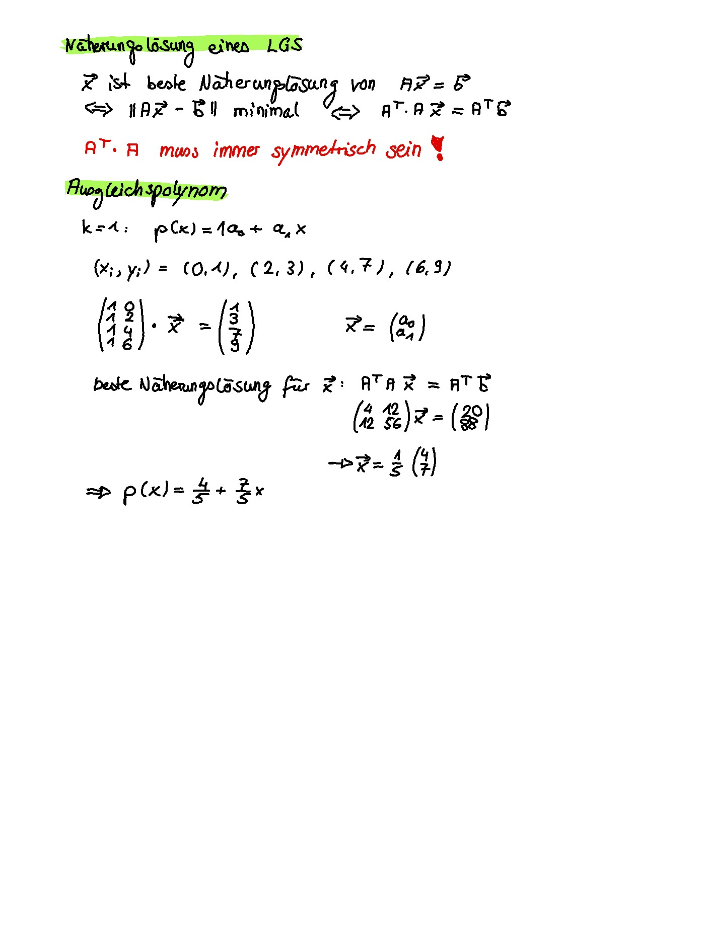
Ausgleichspolynom, Näherungslösung

Ausgl 1