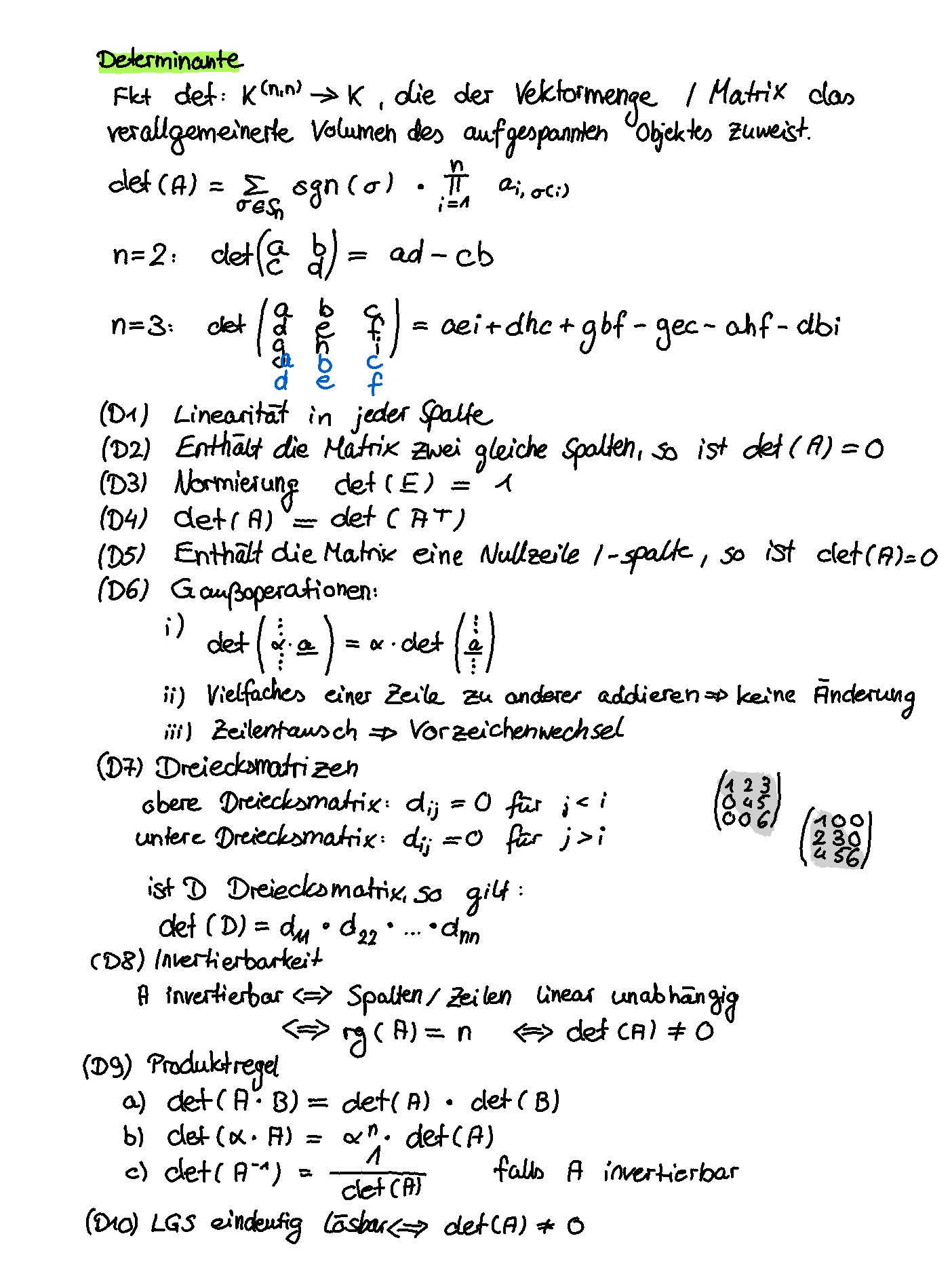
Mathe für Informatiker 1 + 2 Vorlesung

Determinaten und Kreuzprodukt

Determinaten 1 Determinaten 2